Опубликован 27.12.2024
Ключевые слова
- двустворчатый аортальный клапан,
- клапаносохраняющая операция,
- операция David,
- реимплантация аортального клапана,
- трехстворчатый аортальный клапан
Как цитировать
Copyright (c) 2024 Кокорин А.В., Аминов В.В., Лукин О.П., Богачев-Прокофьев А.В.

Это произведение доступно по лицензии Creative Commons «Attribution» («Атрибуция») 4.0 Всемирная.
Аннотация
Актуальность. В отличие от общепризнанных результатов методики реимплантации корня аорты у пациентов с трехстворчатым аортальным клапаном, данные об эффективности клапаносохраняющих процедур при двустворчатом аортальном клапане ограниченны.
Цель. Провести ретроспективное сравнение отдаленных результатов реимплантации корня аорты при двустворчатом и трехстворчатом аортальном клапане.
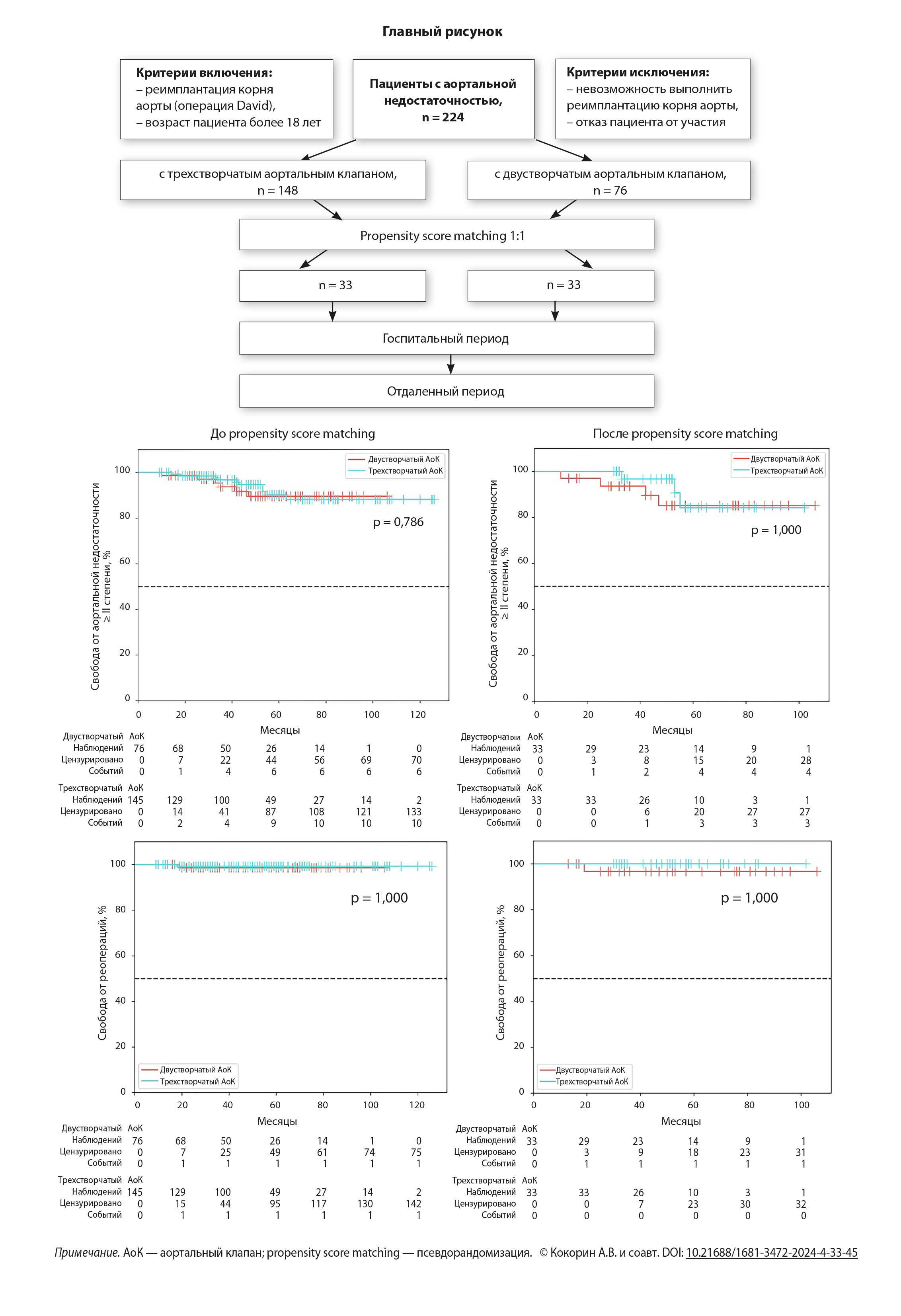
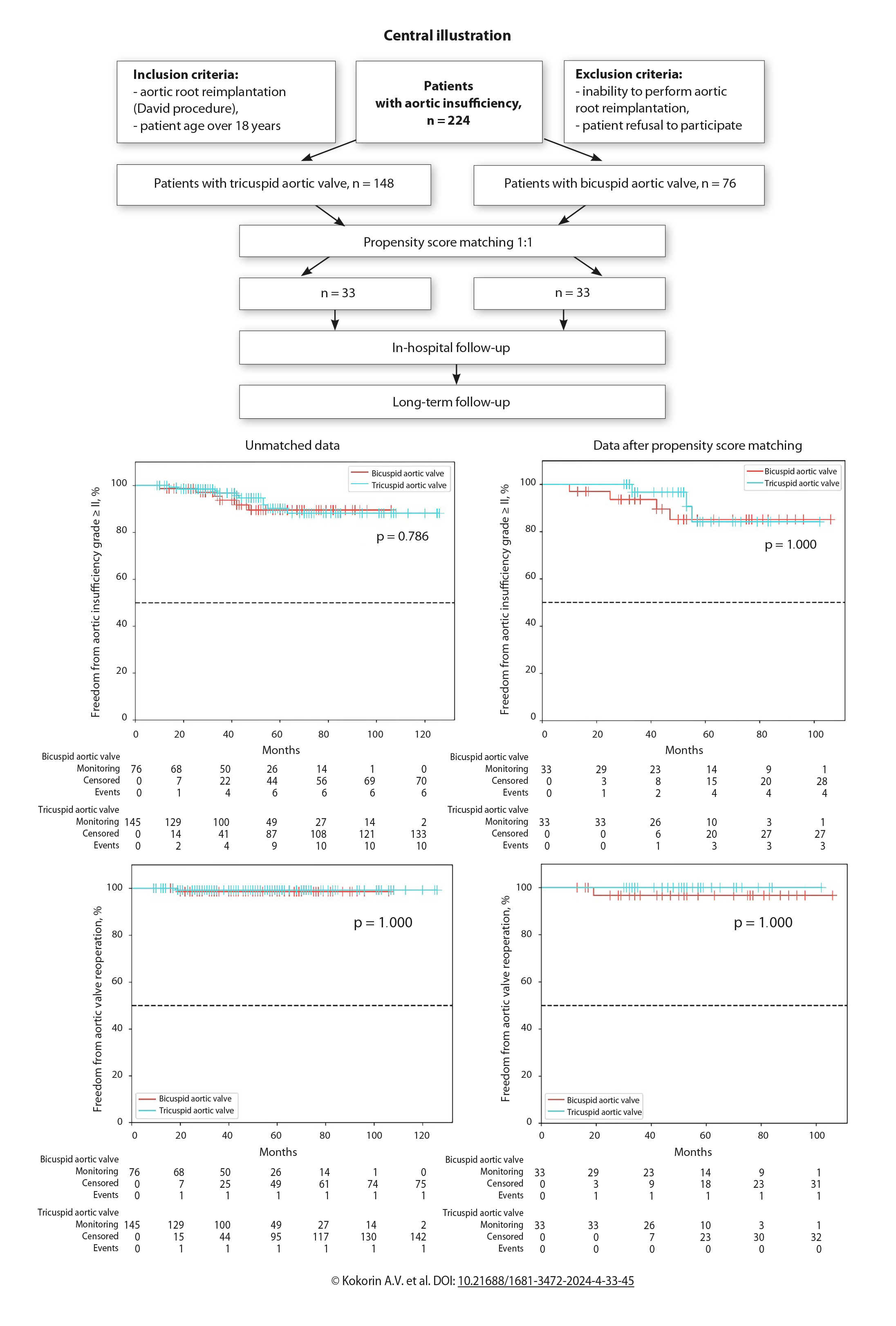
Методы. В ретроспективное исследование включили 224 пациента (средний возраст 48,43 ± 13,70 года, мужчин 81,2 %), которым с января 2013 г. по январь 2023 г. выполнили клапаносохраняющую операцию — реимплантацию корня аорты. В зависимости от анатомического варианта аортального клапана выборку разделили на две группы: пациенты с двустворчатым клапаном (n = 76; 33,9 %) и лица с трехстворчатым клапаном (n = 148; 66,1 %). Для устранения систематических различий сравниваемых групп использовали метод псевдорандомизации 1:1 (англ. propensity score matching, PSM). В результате сопоставления по 12 признакам сформировали 33 пары пациентов. После PSM-анализа значимых различий между группами не было.
Результаты. В отдаленном периоде был обследован 221 (98,2 %) пациент. Средний срок наблюдения для всей выборки составил 53,17 ± 26,34 мес. После PSM-анализа между группами не было значимых различий по количеству обследованных: по 33 человека (100 %) в каждой группе. Средний срок наблюдения — 55,24 ± 22,66 мес. В обеих группах достигнута выживаемость в отдаленном периоде наблюдения 100 %. До сопоставления свобода от аортальной недостаточности ≥ II степени в группе трехстворчатого аортального клапана на сроке 5 и 10 лет составила 90,2 и 88,2 % соответственно, в группе двустворчатого — 89,6 и 89,6 % соответственно (р = 0,786). После PSM-анализа свобода от аортальной недостаточности ≥ II степени в группе трехстворчатого клапана на сроке 5 и 8 лет была 84,2 и 84,2 % соответственно, в группе двустворчатого — 85,1 и 85,1 % соответственно (р = 1,000). До сопоставления свобода от реоперации на сроке 5 и 10 лет у пациентов с трехстворчатым аортальным клапаном составила 99,3 %, с двустворчатым — 98,6 % (р = 1,000). После PSM-анализа тот же показатель на сроке 5 и 8 лет — 100 и 96,7 % в группах трехстворчатого и двустворчатого клапана соответственно (р = 1,000).
Заключение. Реимплантация позволяет эффективно выполнить реконструкцию корня аорты независимо от анатомического варианта аортального клапана, обеспечивая высокую выживаемость с низким риском повторной операции.
Поступила в редакцию 2 октября 2024 г. Исправлена 4 ноября 2024 г. Принята к печати 8 ноября 2024 г.
Финансирование
Исследование выполнено в рамках гранта Российского научного фонда № 23-15-00434.
Конфликт интересов
Авторы заявляют об отсутствии конфликта интересов.
Библиографические ссылки
- Misawa Y. Valve-related complications after mechanical heart valve implantation. Surg Today. 2015;45(10):1205-1209. PMID: 25519937; PMCID: PMC4565860. https://doi.org/10.1007/s00595-014-1104-0
- Chan V., Malas T., Lapierre H., Boodhwani M., Lam B.-K., Rubens F.D., Hendry P.J., Masters R.G., Goldstein W., Mesana T.G., Ruel M. Reoperation of left heart valve bioprostheses according to age at implantation. Circulation. 2011;124(11 Suppl):S75-S80. PMID: 21911822. https://doi.org/10.1161/CIRCULATIONAHA.110.011973
- David T.E., Feindel C.M. An aortic valve-sparing operation for patients with aortic incompetence and aneurysm of the ascending aorta. J Thorac Cardiovasc Surg. 1992;103(4):617-621; discussion 622. PMID: 1532219. https://doi.org/10.1016/S0022-5223(19)34942-6
- David T.E., David C.M., Feindel C.M., Manlhiot C. Reimplantation of the aortic valve at 20 years. J Thorac Cardiovasc Surg. 2017;153(2):232-238. PMID: 27923487. https://doi.org/10.1016/j.jtcvs.2016.10.081
- David T.E., Armstrong S., Manlhiot C., McCrindle B.W., Feindel C.M. Long-term results of aortic root repair using the reimplantation technique. J Thorac Cardiovasc Surg. 2013;145(3 Suppl):S22-S25. PMID: 23260437. https://doi/10.1016/j.jtcvs.2012.11.075
- Coselli J.S., Hughes M.S., Green S.Y., Price M.D., Zarda S., de la Cruz K.I., Preventza O., LeMaire S.A. Valve-sparing aortic root replacement: early and midterm outcomes in 83 patients. Ann Thorac Surg. 2014;97(4):1267-1273; discussion 1273-1274. PMID: 24424011. https://doi.org/10.1016/j.athoracsur.2013.10.076
- Kvitting J.-P.E., Kari F.A., Fischbein M.P., Liang D.H., Beraud A.-S., Stephens E.H., Mitchell R.S., Miller D.C. David valve-sparing aortic root replacement: equivalent mid-term outcome for different valve types with or without connective tissue disorder. J Thorac Cardiovasc Surg. 2013;145(1):117-127; discussion 126-127. PMID: 23083792; PMCID: PMC6382393. https://doi.org/10.1016/j.jtcvs.2012.09.013
- Ouzounian M., Feindel C.M., Manlhiot C., David C., David T.E. Valve-sparing root replacement in patients with bicuspid versus tricuspid aortic valves. J Thorac Cardiovasc Surg. 2019;158(1):1-9. PMID: 31248507. https://doi.org/10.1016/j.jtcvs.2018.10.151
- Karciauskas D., Mizariene V., Jakuska P., Ereminiene E., Orda P., Ordiene R., Vaskelyte J.J., Nedzelskiene I., Kinduris S., Benetis R. Early and long-term results of aortic valve sparing aortic root reimplantation surgery for bicuspid and tricuspid aortic valves. Perfusion. 2019;34(6):482-489. PMID: 30823866. https://doi.org/10.1177/0267659119831926
- Klotz S., Stock S., Sievers H.-H., Diwoky M., Petersen M., Stierle U., Richardt D. Survival and reoperation pattern after 20 years of experience with aortic valve-sparing root replacement in patients with tricuspid and bicuspid valves. J Thorac Cardiovasc Surg. 2018;155(4):1403-1411.e1. PMID: 29338868. https://doi.org/10.1016/j.jtcvs.2017.12.039
- Sievers H.-H., Schmidtke C. A classification system for the bicuspid aortic valve from 304 surgical specimens. J Thorac Cardiovasc Surg. 2007;133(5):1226-1233. PMID: 17467434. https://doi.org/10.1016/j.jtcvs.2007.01.039
- de Kerchove L., Boodhwani M., Glineur D., Noirhomme P., El Khoury G. A new simple and objective method for graft sizing in valve-sparing root replacement using the reimplantation technique. Ann Thorac Surg. 2011;92(2):749-751. PMID: 21801943. https://doi.org/10.1016/j.athoracsur.2011.03.015
- David T.E., David C.M., Manlhiot C., Colman J., Crean A.M., Bradley T. Outcomes of aortic valve-sparing operations in Marfan syndrome. J Am Coll Cardiol. 2015;66(13):1445-1453. PMID: 26403341. https://doi.org/10.1016/j.jacc.2015.07.041
- David T.E., David C.M., Ouzounian M., Feindel C.M., Lafreniere-Roula M. A progress report on reimplantation of the aortic valve. J Thorac Cardiovasc Surg. 2021;161(3):890-899.e1. PMID: 33008570. https://doi.org/10.1016/j.jtcvs.2020.07.121
- Tamer S., Mastrobuoni S., Lemaire G., Jahanyar J., Navarra E., Poncelet A., Astarci P., El Khoury G., de Kerchove L. Two decades of valve-sparing root reimplantation in tricuspid aortic valve: impact of aortic regurgitation and cusp repair. Eur J Cardiothorac Surg. 2021;59(5):1069-1076. PMID: 33332548. https://doi.org/10.1093/ejcts/ezaa427
- David T.E. Aortic valve sparing in different aortic valve and aortic root conditions. J Am Coll Cardiol. 2016;68(6):654-664. PMID: 27491910. https://doi.org/10.1016/j.jacc.2016.04.062
- Zakkar M., Youssefi P., Acar C., Khelil N., Debauchez M., Lansac E. Bicuspid aortic valve repair adapted to aortic phenotype. Ann Cardiothorac Surg. 2019;8(3):401-410. PMID: 31240187; PMCID: PMC6562075. https://doi.org/10.21037/acs.2019.04.13
- Holubec T., Zacek P., Jamaliramin M., Emmert M.Y., Tuna M., Nedbal P., Dominik J., Harrer J., Falk V., Vojacek J. Valve cuspidity: a risk factor for aortic valve repair? J Card Surg. 2014;29(5):585-592. PMID: 24919866. https://doi.org/10.1111/jocs.12382
- Safari M., Monsefi N., Karimian-Tabrizi A., Miskovic A., Van Linden A., Zacek P., Moritz A., Walther T., Holubec T. Longer-term outcomes after bicuspid aortic valve repair in 142 patients. J Card Surg. 2021;36(12):4645-4651. PMID: 34547142. https://doi.org/10.1111/jocs.16006
- Bavaria J.E., Desai N., Szeto W.Y., Komlo C., Rhode T., Wallen T., Vallabhajosyula P. Valve-sparing root reimplantation and leaflet repair in a bicuspid aortic valve: comparison with the 3-cusp David procedure. J Thorac Cardiovasc Surg. 2015;149(2 Suppl):S22-S28. PMID: 25500099. https://doi.org/10.1016/j.jtcvs.2014.10.103
- de Meester C., Vanovershelde J.-L., Jahanyar J., Tamer S., Mastrobuoni S., Van Dyck M., Navarra E., Poncelet A., Astarci P., El Khoury G., de Kerchove L. Long-term durability of bicuspid aortic valve repair: a comparison of 2 annuloplasty techniques. Eur J Cardiothorac Surg. 2021;60(2):286-294. PMID: 33495781. https://doi.org/10.1093/ejcts/ezaa471
- Fattouch K., Moscarelli M., Castrovinci S., Murana G., Dioguardi P., Guccione F., Nasso G., Speziale G., Lancellotti P. Mid-term results of bicuspid aortic valve repair guided by morphology and function assessment. Interact Cardiovasc Thorac Surg. 2017;25(1):83-88. PMID: 28379458. https://doi.org/10.1093/icvts/ivx027
- Shrestha M.L., Beckmann E., Abd Alhadi F., Krueger H., Meyer-Bockenkamp F., Bertele S., Koigeldiyev N., Kaufeld T., Fleissner F., Korte W., Schmitto J., Cebotari S., Harringer W., Haverich A., Martens A. Elective David I procedure has excellent long-term results: 20-year single-center experience. Ann Thorac Surg. 2018;105(3):731-738. PMID: 29198631. https://doi.org/10.1016/j.athoracsur.2017.08.040
- Aicher D., Kunihara T., Abou Issa O., Brittner B., Gräber S., Schäfers H.-J. Valve configuration determines long-term results after repair of the bicuspid aortic valve. Circulation. 2011;123(2):178-185. PMID: 21200006. https://doi.org/10.1161/CIRCULATIONAHA.109.934679
- Schneider U., Feldner S.K., Hofmann C., Schöpe J., Wagenpfeil S., Giebels C., Schäfers H.-J. Two decades of experience with root remodeling and valve repair for bicuspid aortic valves. J Thorac Cardiovasc Surg. 2017;153(4):S65-S71. PMID: 28168982. https://doi.org/10.1016/j.jtcvs.2016.12.030
- Mosala Nezhad Z., de Kerchove L., Hechadi J., Tamer S., Boodhwani M., Poncelet A., Noirhomme P., Rubay J., El Khoury G. Aortic valve repair with patch in non-rheumatic disease: indication, techniques and durability. Eur J Cardiothorac Surg. 2014;46(6):997-1005; discussion 1005. PMID: 24618389. https://doi.org/10.1093/ejcts/ezu058
- Sromicki J., Van Hemelrijck M., Schmiady M.O., Greutmann M., Bonassin Tempesta F., Mestres C.A., Vogt P.R., Carrel T.P., Holubec T. Twenty-five year experience with aortic valve-sparing root replacement in a single teaching center. Front Cardiovasc Med. 2023;10:1104149. PMID: 36970369; PMCID: PMC10036903. https://doi.org/10.3389/fcvm.2023.1104149
